Championnat des managers
Classement
Calendrier
Buteurs/Passeurs
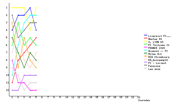
Classement
#
Nom
Pts
NbJ
Vict
Nuls
Déf
BMis
BPris
Diff
1
O. LYON 69
12
5
4
0
1
17
8
+9
2
Arsenal -- FC
10
5
3
1
1
18
6
+12
3
Feminine
10
5
3
1
1
15
4
+11
4
Liverpool FC...
10
5
3
1
1
13
8
+5
5
Nantes 44
10
5
3
1
1
13
11
+2
6
FC Toulouse 31
7
5
2
1
2
11
9
+2
7
EA_Guingamp22
7
5
2
1
2
8
10
-2
8
Milan A-C
6
5
2
0
3
8
11
-3
9
RCA Strasbourg
6
5
2
0
3
8
15
-7
10
FC - Lorient
6
5
2
0
3
8
19
-11
11
Les amis
1
5
0
1
4
11
19
-8
12
FRANCE 2024
1
5
0
1
4
8
18
-10